
咨詢熱線
0757-82255905加熱盤管是在無縫金屬管內(如銅管、不銹鋼管)裝入電熱絲,空隙部分填滿有良好導熱性和絕緣性的氧化鎂粉后縮管而成,再加工成用戶所需要的各種型狀。它具有結構簡單,熱效率高,機械強度好,對惡劣的環境有良好的適應性。體積小、功率大:加熱盤器首要采用集束式管狀電熱元件。下面我們來看看不銹鋼加熱盤管技術標準。

1、范圍
本標準規定了給水加熱器用奧氏體不銹鋼焊接鋼管(以下簡稱鋼管)的尺寸、外形、重量、技術要求、試驗方法、檢驗規則、包裝、標志和質量證明書。本標準適用于給水加熱器用直管或U形奧氏體不銹鋼焊接鋼管。
2、外徑壁厚
直管或U形管直段的外徑和壁厚允許偏差應符合表1的規定。

3、彎管部分彎曲度
U形管彎管部分的橢圓度應符合表2的規定。

4、長度
(1)直管以定尺長度交貨。鋼管的具體交貨長度由供需雙方協商,并在合同中注明。
(2)直管或U形管直管部分的長度允許偏差應符合表3的規定。

5、彎曲度
直管或U形管直管部分的彎曲度應不大于1.5mm/m。
6、彎頭平面度
在兩個切點處測量的U形管彎頭平面度(β,見圖1)偏差應不大于1.5mm。
7、直管部分間距
實測直管部分間距(p)與理論值(2r+D)的允許偏差為士1.5mm。
8、端頭外形
鋼管的兩端應與鋼管的軸線垂直,對于外徑不大于16mm的鋼管,管端切斜應不大于0.25mm;外徑大于16mm的鋼管,管端切斜應不大于0.4m
9、工藝性能
(1)壓扁測試
鋼管應進行壓扁試驗。壓扁試驗時,焊縫應位于與施力方向成90°的位置。壓扁試驗按以下兩步方法進行:
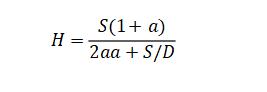
a)第一步是延性試驗,將試樣壓至兩平板間距為H。H按公式計算。試驗后,試樣上不允許出現目視可見的裂紋或裂口。

H——壓扁后平行壓板間距離,單位為毫米(mm);
S——鋼管的公稱壁厚,單位為毫米(mm);
a——單位長度變形系數,取0.09;
D——鋼管的公稱外徑,單位為毫米(mm)。
b)第二步是完整性試驗,壓扁繼續進行,直到試樣破裂或試樣相對兩壁相碰。整個壓扁試驗中,試樣不允許出現目視可見的分層、夾雜和未焊透。
(2)卷邊測試
鋼管應進行卷邊試驗。卷邊寬度應不小于外徑的15%,試驗后,試樣上不允許出現裂紋或裂口。
(3)反卷邊測試
鋼管應進行反向彎曲試驗。從鋼管上截取長度為100mm的一段試樣,試樣從焊縫兩側成90°位置沿縱向剖開,試樣剖開后展平。
彎曲試驗時,彎芯直徑為4倍試樣厚度,彎芯應緊靠并平行于外焊縫,使焊縫處于最大彎曲點。彎曲角度為180°。
彎曲后試樣上不允許出現目視可見的裂紋或裂口。
10、表面質量
鋼管的內外表面應光滑,不允許有錯邊、裂紋、咬邊、折疊、扭曲、過酸洗、氧化皮。上述缺陷應完全清除,清除處的實際壁厚應不小于壁厚所允許的最小值,且清除處應圓滑過渡。
深度不超過壁厚負偏差的輕微劃傷、壓坑、麻點允許存在。
以上就是不銹鋼加熱盤管標準的一部分內容,詳情請查看GB/T 4223-2010。如果想要了解更多罡正不銹鋼資訊,敬請持續關注我們的更新!
相關資訊:

版權所有? 佛山市罡正管業科技有限公司 粵ICP備19066789號-1
電話:0757-82255905 手機:139-2315-7588 聯系人:陳先生
傳真: QQ:435562665 郵箱:435562665@qq.com
地址:佛山市三水區西南街道洲邊五村進港大道側和坑1號2座
